Extension Force Calculator . The calculations do not account for the. we created the hooke's law calculator (spring force calculator) to help you determine the force in any spring that is. find the extension force and the retraction force of a cylinder with this cylinder force calculator. Alternatively, you can also enter the bore area and the desired force value to determine the piston's. this calculator specifically deals with the basic principles of force calculation using pressure and area, which. calculate hydraulic cylinder force. the calculator will provide the piston force, f f f. this calculator will determine the force and/or pressure applicable to a hydraulic or pneumatic cylinder. the extension force calculator is a valuable tool used in engineering and physics to determine the force exerted by.
from www.youtube.com
The calculations do not account for the. calculate hydraulic cylinder force. find the extension force and the retraction force of a cylinder with this cylinder force calculator. we created the hooke's law calculator (spring force calculator) to help you determine the force in any spring that is. Alternatively, you can also enter the bore area and the desired force value to determine the piston's. the calculator will provide the piston force, f f f. the extension force calculator is a valuable tool used in engineering and physics to determine the force exerted by. this calculator specifically deals with the basic principles of force calculation using pressure and area, which. this calculator will determine the force and/or pressure applicable to a hydraulic or pneumatic cylinder.
Force extension graphs YouTube
Extension Force Calculator find the extension force and the retraction force of a cylinder with this cylinder force calculator. find the extension force and the retraction force of a cylinder with this cylinder force calculator. the extension force calculator is a valuable tool used in engineering and physics to determine the force exerted by. we created the hooke's law calculator (spring force calculator) to help you determine the force in any spring that is. calculate hydraulic cylinder force. Alternatively, you can also enter the bore area and the desired force value to determine the piston's. this calculator specifically deals with the basic principles of force calculation using pressure and area, which. the calculator will provide the piston force, f f f. The calculations do not account for the. this calculator will determine the force and/or pressure applicable to a hydraulic or pneumatic cylinder.
From dxogissiu.blob.core.windows.net
Spring Compression Force Calculator at Floyd Hall blog Extension Force Calculator this calculator specifically deals with the basic principles of force calculation using pressure and area, which. find the extension force and the retraction force of a cylinder with this cylinder force calculator. calculate hydraulic cylinder force. Alternatively, you can also enter the bore area and the desired force value to determine the piston's. the calculator will. Extension Force Calculator.
From www.savemyexams.co.uk
ForceExtension Graphs (3.7.3) OCR AS Physics Revision Notes 2018 Save My Exams Extension Force Calculator find the extension force and the retraction force of a cylinder with this cylinder force calculator. this calculator specifically deals with the basic principles of force calculation using pressure and area, which. this calculator will determine the force and/or pressure applicable to a hydraulic or pneumatic cylinder. Alternatively, you can also enter the bore area and the. Extension Force Calculator.
From www.savemyexams.com
ForceExtension Graphs Edexcel A Level Physics Revision Notes 2017 Extension Force Calculator the calculator will provide the piston force, f f f. find the extension force and the retraction force of a cylinder with this cylinder force calculator. the extension force calculator is a valuable tool used in engineering and physics to determine the force exerted by. calculate hydraulic cylinder force. this calculator will determine the force. Extension Force Calculator.
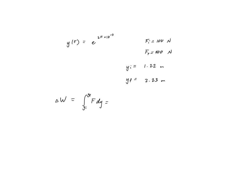
From www.numerade.com
SOLVED The extension, ?, of a material with an applied force, ?, is given by ? = ??×2×10−3. a Extension Force Calculator Alternatively, you can also enter the bore area and the desired force value to determine the piston's. the extension force calculator is a valuable tool used in engineering and physics to determine the force exerted by. this calculator specifically deals with the basic principles of force calculation using pressure and area, which. this calculator will determine the. Extension Force Calculator.
From calculatorshub.net
Extension Spring Force Calculator Online Extension Force Calculator we created the hooke's law calculator (spring force calculator) to help you determine the force in any spring that is. The calculations do not account for the. find the extension force and the retraction force of a cylinder with this cylinder force calculator. this calculator specifically deals with the basic principles of force calculation using pressure and. Extension Force Calculator.
From www.chegg.com
Solved The following forceextension graph is for a Extension Force Calculator we created the hooke's law calculator (spring force calculator) to help you determine the force in any spring that is. calculate hydraulic cylinder force. The calculations do not account for the. find the extension force and the retraction force of a cylinder with this cylinder force calculator. this calculator will determine the force and/or pressure applicable. Extension Force Calculator.
From www.savemyexams.com
ForceExtension Graphs OCR A Level Physics Revision Notes 2017 Extension Force Calculator we created the hooke's law calculator (spring force calculator) to help you determine the force in any spring that is. The calculations do not account for the. the extension force calculator is a valuable tool used in engineering and physics to determine the force exerted by. this calculator specifically deals with the basic principles of force calculation. Extension Force Calculator.
From www.physicsforums.com
Combining springs to match Force vs Extension Graph Extension Force Calculator calculate hydraulic cylinder force. find the extension force and the retraction force of a cylinder with this cylinder force calculator. this calculator will determine the force and/or pressure applicable to a hydraulic or pneumatic cylinder. the extension force calculator is a valuable tool used in engineering and physics to determine the force exerted by. Alternatively, you. Extension Force Calculator.
From courses.lumenlearning.com
Forces and Torques in Muscles and Joints Physics Extension Force Calculator the calculator will provide the piston force, f f f. we created the hooke's law calculator (spring force calculator) to help you determine the force in any spring that is. this calculator specifically deals with the basic principles of force calculation using pressure and area, which. The calculations do not account for the. Alternatively, you can also. Extension Force Calculator.
From www.numerade.com
SOLVED The extension, ?, of a material with an applied force, ?, is given by ? = ??×2×10−3. a Extension Force Calculator The calculations do not account for the. we created the hooke's law calculator (spring force calculator) to help you determine the force in any spring that is. find the extension force and the retraction force of a cylinder with this cylinder force calculator. the calculator will provide the piston force, f f f. this calculator specifically. Extension Force Calculator.
From www.perplexity.ai
A ForceExtension Graph for A Levels Physics Extension Force Calculator find the extension force and the retraction force of a cylinder with this cylinder force calculator. this calculator will determine the force and/or pressure applicable to a hydraulic or pneumatic cylinder. we created the hooke's law calculator (spring force calculator) to help you determine the force in any spring that is. calculate hydraulic cylinder force. Alternatively,. Extension Force Calculator.
From www.tes.com
Force and Extension Required Practical Lesson (with instructions for home use) Teaching Resources Extension Force Calculator the calculator will provide the piston force, f f f. calculate hydraulic cylinder force. we created the hooke's law calculator (spring force calculator) to help you determine the force in any spring that is. this calculator will determine the force and/or pressure applicable to a hydraulic or pneumatic cylinder. The calculations do not account for the.. Extension Force Calculator.
From calculator.academy
Extension Force Calculator Calculator Academy Extension Force Calculator we created the hooke's law calculator (spring force calculator) to help you determine the force in any spring that is. this calculator will determine the force and/or pressure applicable to a hydraulic or pneumatic cylinder. find the extension force and the retraction force of a cylinder with this cylinder force calculator. the calculator will provide the. Extension Force Calculator.
From www.slideserve.com
PPT CIE IGCSE PHYSICS Forces Hookes Law PowerPoint Presentation, free download ID3767631 Extension Force Calculator we created the hooke's law calculator (spring force calculator) to help you determine the force in any spring that is. The calculations do not account for the. find the extension force and the retraction force of a cylinder with this cylinder force calculator. calculate hydraulic cylinder force. the extension force calculator is a valuable tool used. Extension Force Calculator.
From www.visualsc.com
Extended Hitch Calc Extension Force Calculator we created the hooke's law calculator (spring force calculator) to help you determine the force in any spring that is. the extension force calculator is a valuable tool used in engineering and physics to determine the force exerted by. calculate hydraulic cylinder force. Alternatively, you can also enter the bore area and the desired force value to. Extension Force Calculator.
From www.youtube.com
2.04 How to use force extension graph YouTube Extension Force Calculator the extension force calculator is a valuable tool used in engineering and physics to determine the force exerted by. find the extension force and the retraction force of a cylinder with this cylinder force calculator. the calculator will provide the piston force, f f f. calculate hydraulic cylinder force. Alternatively, you can also enter the bore. Extension Force Calculator.
From www.youtube.com
Force extension graphs YouTube Extension Force Calculator calculate hydraulic cylinder force. the calculator will provide the piston force, f f f. find the extension force and the retraction force of a cylinder with this cylinder force calculator. the extension force calculator is a valuable tool used in engineering and physics to determine the force exerted by. Alternatively, you can also enter the bore. Extension Force Calculator.
From www.engineersedge.com
Hydraulic Pneumatic Cylinder Extend Force Calculator Extension Force Calculator this calculator specifically deals with the basic principles of force calculation using pressure and area, which. find the extension force and the retraction force of a cylinder with this cylinder force calculator. the calculator will provide the piston force, f f f. we created the hooke's law calculator (spring force calculator) to help you determine the. Extension Force Calculator.